Per chi vuole imparare a programmare, qualunque linguaggio si decida di usare, dovrà inizialmente creare delle applicazioni molto semplici. Una di queste sicuramente è il calcolo della media di un insieme di valori, più o meno grande.
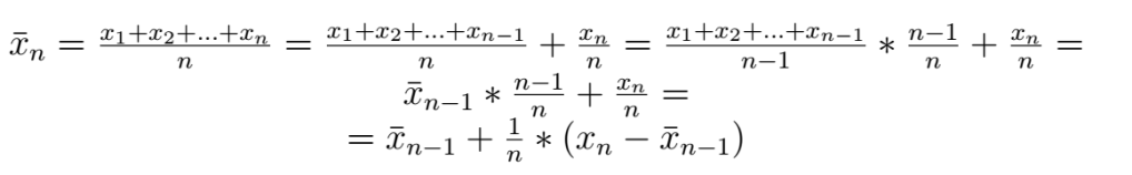
Il novello programmatore, proprio essendo tale, utilizzerà nel suo programma l’espressione statistica della media che tutti noi conosciamo:
Quando N, cioè il numero di valori di cui si vuole calcolare la media, è piccolo, l’applicazione funzionerà in modo perfetto. Quando però questo valore cresce ed oltre a valori interi vengono inseriti anche valori reali, si potrebbe incorrere in errori macroscopici come l’overflow o errori di approssimazione, molto difficili da correggere ma anche difficili da ritrovare nel codice.
Per questo motivo Donald Knuth (famoso informatico e matematico americano, nonché professore emerito presso la Stanford University) creò un algoritmo per il calcolo della media aritmetica e della varianza (che però non vedremo) usando una espressione matematica equivalente a quella statistica.
Utilizzando questa formulazione, l’algoritmo diviene di tipo incrementale, cioè la media viene aggiornata ogni volta che viene inserito un nuovo valore. In questo modo l’algoritmo diviene stabile e non si rischia di incorrere in problemi di overflow.

